ads/auto.txt

Imaginary Zeros In Function

All About Image

Imaginary Zeros In Function. 1 how many imaginary zeros does the function f x 3x 4 2x 3 4x 7 have. To understand the definition of the roots of a function let us take the example of the function y f x x.

Finding Complex Zeros Of A Polynomial Function Video Lesson Transcript Study Com
Finding Complex Zeros Of A Polynomial Function Video Lesson Transcript Study Com from study.com

I understand the 3 as a zero because this is clearly when y 0. Determining the equation of a polynomial function. For example the zeros of the expression x 2 1 are.

Joined oct 6 2020 messages 21.

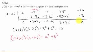
1 how many imaginary zeros does the function f x 3x 4 2x 3 4x 7 have. Polynomial synthetic division. An imaginary root or zero would be a value x a i b in the complex plane that satisfies f x 0. Imaginary zeros of polynomials.